Microservices Project Architecture ​
Understanding the gomicro microservices architecture and design patterns.
Overview ​
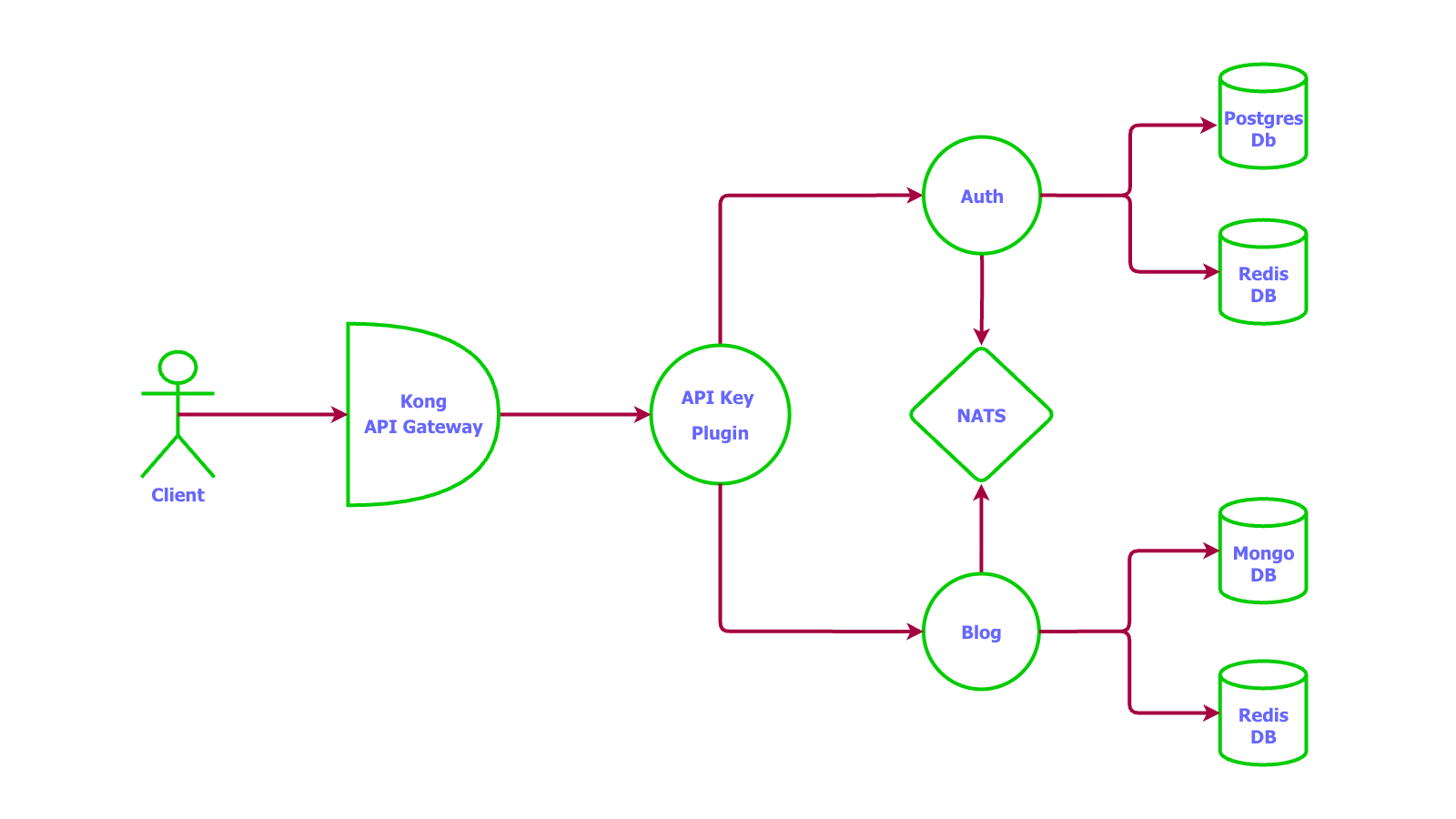
gomicro demonstrates a complete microservices implementation using the goserve micro framework. The project breaks down a monolithic blog application into independent services that communicate via NATS messaging, orchestrated through Kong API gateway.
Core Principles ​
- Service Independence - Each service runs independently with its own database and cache
- API Gateway - Centralized request routing and authentication through Kong
- Event-Driven Communication - NATS messaging for inter-service communication
- Database per Service - Independent data storage choices (PostgreSQL + MongoDB)
- Service Discovery - Automatic service registration and discovery
System Architecture ​
Without Load Balancing ​

With Load Balancing ​

Deployment Configurations ​
Kong API Gateway ​
Purpose: Centralized API management and routing
Components:
- Custom Go Plugin: API key authentication
- Request Routing: Routes to appropriate services
- Load Balancing: Distributes requests across service instances
Configuration:
# kong/kong.yml
_format_version: "2.1"
_transform: true
services:
- name: auth
url: http://auth:8000
routes:
- name: auth
paths:
- /auth
- name: blog
url: http://blog:8000
routes:
- name: blog
paths:
- /blog
plugins:
- name: apikey-auth-plugin
config:
verification_urls:
- http://auth:8000/verify/apikeyAuth Service ​
Technology Stack:
- Framework: goserve micro
- Database: PostgreSQL
- Cache: Redis
- Communication: NATS
Responsibilities:
- User authentication (signup/signin)
- JWT token validation
- Role-based authorization
- API key management
- User profile management
Blog Service ​
Technology Stack:
- Framework: goserve micro
- Database: MongoDB
- Cache: Redis
- Communication: NATS
Responsibilities:
- Blog CRUD operations
- Author/editor workflows
- Content publishing
- Comment management
- Tag management
Microservices ​
goserve provides built-in support for building microservices using NATS as the messaging system.
package micro provides the necessary abstractions and helpers to create microservices that can communicate with each other using NATS. It includes modified versions of Controller and Router to facilitate microservice development. Most of the concepts from the main framework apply here as well.
NATS Server Client ​
type Config struct {
NatsUrl string
NatsServiceName string
NatsServiceVersion string
Timeout time.Duration
}
type NatsClient interface {
GetInstance() *natsClient
Disconnect()
}You can connect to a NATS server and manage the connection lifecycle.
natsConfig := micro.Config{
NatsUrl: env.NatsUrl,
NatsServiceName: env.NatsServiceName,
NatsServiceVersion: env.NatsServiceVersion,
Timeout: time.Duration(env.NatsTimeoutSec) * time.Second,
}
natsClient := micro.NewNatsClient(&natsConfig)
defer natsClient.Disconnect()NATS Message ​
Define NATS message structures as DTOs.
type Text struct {
Value string `json:"value" validate:"required"`
}
func NewText(value string) *Text {
return &Text{
Value: value,
}
}You can parse NATS messages using helper functions.
// req micro.NatsRequest
text, err := micro.JsonToMsg[message.Text](req.Data())NATS Request ​
You can ask NATS for a response using services.
The framwork provides helper functions to send NATS requests and receive responses.
// S - Sent message type
// R - Received message type
func RequestNats[S any, R any](client NatsClient, subject string, sData *S) (*R, error)
// S - Sent message type
// R - Received message type
// Returns both the response data and the raw NATS message
func RequestNatsRaw[S any, R any](client NatsClient, subject string, sData *S) (*R, *nats.Msg, error)Example usage in a service:
// Framework creates NATS topic based on controller [path].[AddEndpoint name]
const NATS_TOPIC_AUTH = "auth.authentication"
type Service interface {
Authenticate(token string) (*message.User, error)
// other methods
}
type service struct {
natsClient micro.NatsClient
}
func NewService(natsClient micro.NatsClient) Service {
return &service{
natsClient: natsClient,
}
}
func (s *service) Authenticate(token string) (*message.User, error) {
msg := message.NewText(token)
// Send NATS request and receive response in blocking manner
return micro.RequestNats[message.Text, message.User](s.natsClient, NATS_TOPIC_AUTH, msg)
}
// other methodsNATS Response ​
Helper functions to send NATS responses.
// Send message response
func RespondNatsMessage[T any](req NatsRequest, data *T)
// Send error response
func RespondNatsError(req NatsRequest, err error)The controllers AddEndpoint method allows you to register NATS endpoints and their handlers.
func (c *controller) MountNats(group micro.NatsGroup) {
group.AddEndpoint("authentication", micro.NatsHandlerFunc(c.authenticationHandler))
// other endpoints
}
func (c *controller) authenticationHandler(req micro.NatsRequest) {
text, err := micro.JsonToMsg[message.Text](req.Data())
if err != nil {
micro.RespondNatsError(req, err)
return
}
user, _, err := c.service.Authenticate(text.Value)
if err != nil {
micro.RespondNatsError(req, err)
return
}
micro.RespondNatsMessage(req, message.NewUser(user))
}Microservice Controller ​
It extends the base Controller interface to include NATS group mounting.
type Controller interface {
network.Controller
MountNats(group NatsGroup)
}You can create microservice controllers by implementing the Microservice Controller interface:
type controller struct {
micro.Controller
// dependencies
}
func NewController(
authProvider network.AuthenticationProvider,
authorizeProvider network.AuthorizationProvider,
// other dependencies
) micro.Controller {
return &controller{
Controller: micro.NewController("/", authProvider, authorizeProvider),
// initialize other dependencies
}
}
func (c *controller) MountNats(group micro.NatsGroup) {
group.AddEndpoint("authentication", micro.NatsHandlerFunc(c.authenticationHandler))
group.AddEndpoint("authorization", micro.NatsHandlerFunc(c.authorizationHandler))
}
func (c *controller) authenticationHandler(req micro.NatsRequest) {
// handler implementation
}
func (c *controller) authorizationHandler(req micro.NatsRequest) {
// handler implementation
}
func (c *controller) MountRoutes(group *gin.RouterGroup) {
group.GET("/verify/apikey", c.verifyApikeyHandler)
group.DELETE("/signout", c.Authentication(), c.signOutBasic)
// other routes
}
func (c *controller) verifyApikeyHandler(ctx *gin.Context) {
// handler implementation
}Microservice Module ​
It is very similar to the network Module interface but for microservices micro Controllers are used instead of network Controllers.
type Module[T any] interface {
network.BaseModule[T]
Controllers() []Controller
}Microservice Router ​
It extends the base Router interface to include NATS client management and microservice controller loading.
type Router interface {
network.BaseRouter
NatsClient() NatsClient
LoadControllers(controllers []Controller)
}